换底公式怎么用?可以举几个例子吗
的有关信息介绍如下:1、对数计算
通常在处理数学运算中,将一般底数转换为以e为底的自然对数或者是转换为以10为底的常用对数,方便运算;有时也通过用换底公式来证明或求解相关问题。
在计算器上计算对数时需要用到这个公式。例如,大多数计算器有自然对数和常用对数的按钮,但却没有log2的。要计算

只有计算

(或

两者结果一样)。
2、工程技术
在工程技术中,换底公式也是经常用到的公式。
例如,在编程语言中,有些编程语言(例如C语言)没有以a为底b为真数的对数函数,只有以常用对数(即以10为底的对数)或自然对数(即e为底的对数)。此时就要用到换底公式来换成以e或者10为底的对数,表示出以a为底b为真数的对数表达式,从而处理某些实际问题。

扩展资料
1、求证

其中

证法一:设

则



证法二



2、求

的值。
解:

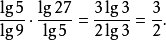
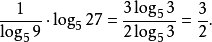
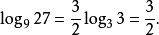
3、计算

解法1:原式=

解法2:原式=

解法3:原式=

参考资料来源:百度百科-对数换底公式
参考资料来源:百度百科-换底公式



