平方怎么算公式是什么
的有关信息介绍如下:平方是一种运算,比如,a的平方表示a×a,简写成a²,也可写成a×a(a的一次方乘a的一次方等于a的2次方),例如4×4=16,8×8=64,平方符号为2。
副标题回答:
平方=长*宽=130cm*80cm=10400cm*cm

扩展资料:
关于计算平方的公式:
长方形:
{长方形面积=长×宽}
正方形:
{正方形面积=边长×边长}
平行四边形:
{平行四边形面积=底×高}
三角形:
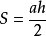
{三角形面积=底×高÷2}
梯形:
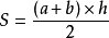
{梯形面积=(上底+下底)×高÷2}
圆形(正圆):
{圆形(正圆)面积=圆周率×半径×半径}
举例:
长方形的面积公式是长乘宽等于的就是面积,面积的单位是平方,不是你说的平方面积。
例如:长方形的长和宽分别是8米和5米,长方形的面积是:8米*5米=40(平方米)。
单位换算:1 ㎡(1平方米)= 100 dm²(100平方分米)=10000 cm²(10000平方厘米)=1000000 mm²(1000000平方毫米)= 0.0001公顷=0.000001km² (0.000001平方公里)= 0.01公亩=0.0002471054英亩=0.0000003861平方英里=10.763910417平方英尺=0.0015亩



