Excel中的求方差到底用哪个函数?
的有关信息介绍如下:根据问题中的公式可知,Excel中求方差时,用的函数为:VARP函数。具体求解方差步骤如下:
1、双击需填入方差值的单元格,输入“=”号,如下图所示:

2、在函数编辑栏,填入VARP函数,如果是连续的一列数值,可用“:”表示起始单元格和结束单元格位置,如下图所示:

3、如需要选择单独的几个单元格进行方差计算,可在函数编辑栏中输入VARP函数,然后分别输入单元格位置,以“,”隔开即可,如下图所示:

3、编辑好公式后,点击回车按钮,即可得到计算结果,如下图所示:

扩展资料
1、在统计描述中,方差用来计算每一个变量(观察值)与总体均数之间的差异。为避免出现离均差总和为零,离均差平方和受样本含量的影响,统计学采用平均离均差平方和来描述变量的变异程度。总体方差计算公式:
;
其中,
为总体方差,X为变量,u为总体均值,N为总体例数
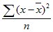
2、VARP 的公式为:
,其中 x 为样本平均值 AVERAGE(number1,number2,…),n 为样本大小
参考资料:百度百科:方差
Office支持-VARP函数



