期望值怎么算?
的有关信息介绍如下:E(X) = X1*p(X1) + X2*p(X2) + …… + Xn*p(Xn)
X1,X2,X3,……,Xn为这几个数据,p(X1),p(X2),p(X3),……p(Xn)为这几个数据的概率函数。
需要注意的是,期望值并不一定等同于常识中的“期望”——“期望值”也许与每一个结果都不相等。(换句话说,期望值是该变量输出值的平均数。期望值并不一定包含于变量的输出值集合里。)
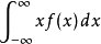
如果X是连续的随机变量,存在一个相应的概率密度函数
,若积分
绝对收敛,那么X的期望值可以计算为:
,是针对于连续的随机变量的,与离散随机变量的期望值的算法同出一辙,由于输出值是连续的,所以把求和改成了积分。

扩展资料:
在一般情况下,两个随机变量的积的期望值不等于这两个随机变量的期望值的积。
特殊情况是当这两个随机变量是相互独立的时候
(也就是说一个随机变量的输出不会影响另一个随机变量的输出。)
例如,美国的轮盘中常用的轮盘上有38个数字,每一个数字被选中的概率都是相等的。赌注一般押在其中某一个数字上,如果轮盘的输出值和这个数字相等,那么下赌者可以将相当于赌注35倍的奖金(原注不包含在内),若输出值和下压数字不同,则赌注就输掉了。
考虑到38种所有的可能结果,然后这里我们的设定的期望目标是“赢钱”,则因此,讨论赢或输两种预想状态的话,以1美元赌注押一个数字上,则获利的期望值为:赢的“概率38分之1,能获得35元”,加上“输1元的情况37种”,结果约等于-0.0526美元。
也就是说,平均起来每赌1美元就会输掉5美分,即美式轮盘以1美元作赌注的期望值为 负0.0526美元。



