倒三角数学符号读法
的有关信息介绍如下:倒三角数学符号为▼ 。英文为Nabla,中文读音为奈不拉,同时也可以读作“Del” 。
这是场论中的符号,是矢量微分算符。 高等数学中的梯度,散度,旋度都会用到这个算符。 其二阶导数中旋度的散度又称Laplace算符。
扩展资料:
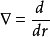
其形式化定义为:

在n维空间中,分母dr为含n个分量的向量,因而
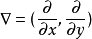
本身就是个n维向量算子。三维情况下,
,或者,
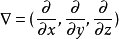
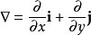
。二维情况下,
,或,
。
作用于不同类型的量,得到的就是不同类型的新量。
直接作用于函数F(r)(不论F是标量还是向量),意味着求F(r)的梯度,表示为:
(标量函数的梯度为向量,向量的梯度为二阶张量……)。
参考资料:百度百科- Nabla 算子



