二元一次方程的求根公式是什么?
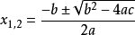
的有关信息介绍如下:设一个二元一次方程为:ax^2+bx+c=0,其中a不为0,因为要满足此方程为二元一次方程所以a不能等于0.求根公式为:x1=(-b+(b^2-4ac)^1/2)/2a ,x2=(-b-(b^2-4ac)^1/2)/2a

数学推导
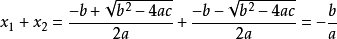
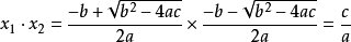
由一元二次方程求根公式知:

则有:


发展简史
法国数学家弗朗索瓦·韦达于1615年在著作《论方程的识别与订正》中改进了三、四次方程的解法,还对n=2、3的情形,建立了方程根与系数之间的关系,现代称之为韦达定理。
韦达最早发现代数方程的根与系数之间有这种关系,因此,人们把这个关系称为韦达定理。韦达在16世纪就得出这个定理,证明这个定理要依靠代数基本定理,而代数基本定理却是在1799年才由高斯作出第一个实质性的论性。
韦达定理系统地使用字母来表示已知数、未知数及其乘幂,带来了代数学理论研究的重大进步。韦达讨论了方程根的各种有理变换,发现了方程根与系数之间的关系(所以人们把叙述一元二次方程根与系数关系的结论称为“韦达定理”)。
韦达定理(又叫一元二次方程的根与系数的关系,简称根系关系。)指出,一元二次方程的两根的和等于它的一次项系数除以二次项系数所得的商的相反数;两根的积等于它的常数项除以二次项系数所得的商。由于韦达最早发现代数方程的根与系数之间有这种关系,人们把这个关系称为韦达定理。
参考资料:百度百科 韦达定理



