椭圆的公式是什么
的有关信息介绍如下:椭圆周长公式:L=2πb+4(a-b)
根据椭圆第一定义,用a表示椭圆长半轴的长,b表示椭圆短半轴的长,且a>b>0。
椭圆周长定理:椭圆的周长等于该椭圆短半轴长为半径的圆周长(2πb)加上四倍的该椭圆长半轴长(a)与短半轴长(b)的差。
椭圆面积公式: S=πab
椭圆面积定理:椭圆的面积等于圆周率(π)乘该椭圆长半轴长(a)与短半轴长(b)的乘积。

扩展资料:
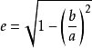
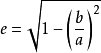
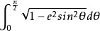
a为椭圆长半轴,e 为椭圆的离心率
椭圆周长理论公式是存在的不过它不能用初等函数表示,它是一个与离心率有关的无穷收敛级数,本公式已经把正圆周长纳入其中,在某种意义上讲正圆是特殊的椭圆,也就是说正圆是长短轴相等的椭圆。
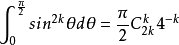
公式推导是要利用到曲线长度积分,同时关键的一步是,要把椭圆积分利用牛顿二项式定理 展开为以sinθ 为变量的级数再通过积分求解。
先建立椭圆参数方程:
x=a SINθ
Y=bcosθ
根据曲线长度积分方程:u=y′

将椭圆方程代入上式得:
(1) L=4a
而 
得出将(1)式用牛顿二项式定理展开再逐项积分得
求解完毕(这个公式把a=b带进去以后为圆周长公式,e=1时,L=
a)
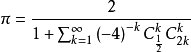
由此我们可以得到圆周率的另一个公式了:



