排列组合中c53是怎么算的,5在下,3在上
的有关信息介绍如下:C(5,3)=C(5,2)=5*4/2*1=20/2=10
1、从n个不同元素中,任取m(m≤n)个元素并成一组,叫做从n个不同元素中取出m个元素的一个组合;从n个不同元素中取出m(m≤n)个元素的所有组合的个数,叫做从n个不同元素中取出m个元素的组合数。
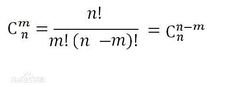
2、在线性写法中被写作C(n,m)。组合数的计算公式为

3、组合是数学的重要概念之一。从 n 个不同元素中每次取出 m 个不同元素,不管其顺序合成一组,称为从 n 个元素中不重复地选取 m 个元素的一个组合。所有这样的组合的种数称为组合数。

扩展资料
组合数性质
1、互补性质

即从m个不同元素中取出n个元素的组合数=从m个不同元素中取出 (m-n) 个元素的组合数;
这个性质很容易理解,例如C(9,2)=C(9,7),即从9个元素里选择2个元素的方法与从9个元素里选择7个元素的方法是相等的。
规定:C(n,0)=1 C(n,n)=1 C(0,0)=1
参考资料
百度百科-组合数



