光子有没有质量?
的有关信息介绍如下:光子静止质量为零。光子以光速运动,并具有能量、动量、质量。
光子的静止质量严格为零,本质上和库仑定律严格的距离平方反比关系等价,如果光子静止质量不为零,那么库仑定律也不是严格的平方反比定律。 所有有关的经典理论,如麦克斯韦方程组和电磁场的拉格朗日量都依赖于光子静质量严格为零的假设。 从爱因斯坦的质能关系和光量子能量公式可粗略得到光子质量的上限:m=hν/c2
光子具有能量,也具有动量,更具有质量,按照质能方程,E=mc2=hν,求出m=hν/c2,
光子由于无法静止,所以它没有静止质量,这儿的质量是光子的相对论质量。
根据量子场论,一对正反粒子可发生湮灭变成一对高能γ光子,而一对高能γ光子在高温下亦可发生反应产生一对正反粒子。比如在T=1015K的温度下可发生光子向质子和中子等重子的转化。

光子能够在很多自然过程中产生,例如:在分子、原子或原子核从高能级向低能级跃迁时电荷被加速的过程中会辐射光子,粒子和反粒子湮灭时也会产生光子;在上述的时间反演过程中光子能够被吸收,即分子、原子或原子核从低能级向高能级跃迁,粒子和反粒子对的产生。
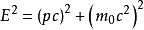
在真空中光子的速度为光速,能量E和动量p之间关系为p=E/c; 相对论力学中静质量为
的粒子的能量动量关系为
。
光子的能量和动量仅与光子的频率ν有关;或者说仅与波长λ有关。从而得到光子的动量大小为p=h/λ=hv/c。其中h叫普朗克常数。
参考资料:百度百科-光子



