什么叫体积,什么叫面积,什么叫表面积
的有关信息介绍如下:体积是指物质或物体所占空间的大小,占据一特定容积的物质的量(表示三维立体图形大小)。
面积是指物体所占的平面图形的大小。
表面积是指所有立体图形外面的面积之和。
常用体积公式:
长方体:
(长方体体积=长×宽×高)
正方体:
(正方体体积=棱长×棱长×棱长)
圆柱(正圆):
【圆柱(正圆)体积=圆周率×(底半径×底半径)×高】
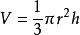
圆锥(正圆):
【圆锥(正圆)体积=圆周率×底半径×底半径×高/3】
角锥:
【角锥体积=底面积×高/3】
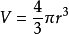
球体:
【球体体积=4/3(圆周率×半径的三次方)】
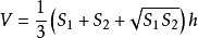
棱台:
注:V:体积;S1:上表面积;S2:下表面积;H:高。
长方形(矩形):
{长方形面积=长×宽}
正方形:
{正方形面积=边长×边长}
平行四边形:
{平行四边形面积=底×高}
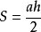
三角形:
{三角形面积=底×高÷2}
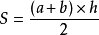
梯形:
{梯形面积=(上底+下底)×高÷2}
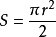
圆形(正圆):
{圆形(正圆)面积=圆周率×半径×半径}
圆环:
{圆形(外环)面积={圆周率×(外环半径^2-内环半径^2)}
扇形:
{圆形(扇形)面积=圆周率×半径×半径×扇形角度/360}
常用表面积公式:
长方体表面积:
{长方体表面积=(长×宽+长×高+宽×高)×2}
正方体表面积:
{正方体表面积=棱长×棱长×6}
球体(正球)表面积:
{球体(正球)表面积=圆周率×半径×半径×4}
椭圆
(其中π(圆周率,a,b分别是椭圆的长半轴,短半轴的长).
半圆:
(半圆形的面积公式=圆周率×半径的平方÷2)



