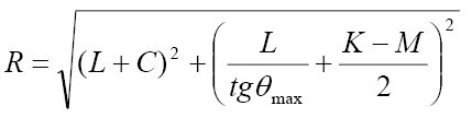
您的位置首页生活百科 汽车最小转弯半径的计算? Simone 发布于 2026-01-23 18:11:44 852 阅读 汽车最小转弯半径的计算?的有关信息介绍如下:以转向轮外轮中心轮迹计算: 以车身最外点计算的最小转弯半径:式中:R0—转向轮外轮中心轮迹的最小转弯半径;R—车身最外点的最小转弯半径;L—轴距;θmax—转向轮外轮最大转角;b—前轮距;C—前悬长度;K—整车宽度;M—主销中心距