电流的单位是什么
的有关信息介绍如下:电流的单位是安培(安德烈·玛丽·安培).简称“安”,符号 “A”,也是指电荷在导体中的定向移动。
电源的电动势形成了电压,继而产生了电场力,在电场力的作用下,处于电微安(μA)1A=1 000mA=1 000 000μA,电学上规定:正电荷定向流动的方向为电流方向。金属导体中电流微观表达式I=nesv,n为单位体积内自由电子数,e为电子的电荷量,s为导体横截面积,v为电荷速度。
国际单位制中电流的基本单位是安培。1安培定义为:在真空中相距为1米的两根无限长平行直导线,通以相等的恒定电流,当每米导线上所受作用力为2×10-7 N时,各导线上的电流为1安培。

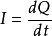
通过导体横截面的电荷量Q跟通过这些电荷量所用的时间t的比值称为电流,也叫电流强度。即 I=Q/t 。如果在1s内通过导体横截面的电荷量是1C,导体中的电流就是1A。
决定电流大小的微观量:在加有电压的一段粗细均匀的导体AD上选取两个截面B和C,设导体的横截面积为S,导体每单位体积内的自由电荷数为n,每个电荷的电荷量为e,电荷的定向移动速率为v,则在时间t内处于相距为vt的两截面B、C间的所有自由电荷将通过截面C。由
(I=ΔQ/Δt)可得I = nesv。
热效应:导体通电时会发热,把这种现象叫做电流热效应。例如:比较熟悉的焦耳定律:是定量说明传导电流将电能转换为热能的定律。(焦耳定律)
磁效应:电流的磁效应(动电会产生磁):奥斯特发现:任何通有电流的导线,都可以在其周围产生磁场的现象,称为电流的磁效应。(毕奥-萨法尔定律)
化学效应:电的化学效应主要是电流中的带电粒子(电子或离子)参与而使得物质发生了化学变化。化学中的电解水或电镀等都是电流的化学效应。(法拉第电解定律)
参考资料:百度百科-电流



